

從Micro-LED的歷史與現狀,看其量產技術難點與應用前景
揭開Micro-LED的神秘外衣
Micro-LED是什么?
Micro LED技術,即LED微縮化和矩陣化技術。指的是在一個芯片上集成的高密度微小尺寸的LED陣列,如led顯示屏每一個像素可定址、單獨驅動點亮,可看成是戶外led顯示屏的微縮版,將像素點距離從毫米級降低至微米級。
而Micro LED display,則是底層用正常的CMOS集成電路制造工藝制成LED顯示驅動電路,然后再用MOCVD機在集成電路上制作LED陣列,從而實現了微型顯示屏,也就是所說的led顯示屏的縮小版。

LuxVue有源矩陣Micro LED display申請的專利(圖片來源:LuxVue)
凸顯的優勢
Micro LED優點表現的很明顯,它繼承了無機LED的高效率、高亮度、高可靠度及反應時間快等特點,并且具自發光無需背光源的特性,更具節能、機構簡易、體積小、薄型等優勢。
除此之外,Micro LED還有一大特性就是解析度超高。因為超微小,表現的解析度特別高; 據說,如若蘋果iPhone 6S采用micro LED,解析度可輕松達1500ppi以上,比原來的Retina顯示的400PPi要高出3.75倍
而相比OLED,其色彩更容易準確的調試,有更長的發光壽命和更高的亮度以及具有較佳的材料穩定性、壽命長、無影像烙印等優點。故為OLED之后另一具輕薄及省電優勢的顯示技術,其與OLED共通性在于亦需以TFT背板驅動,所以TFT技術等級為IGZO、LTPS、Oxide。

基于微led顯示屏的量子點全色發光的處理流程(圖片來源:OSA Publishing)
存在的劣勢
1. 成本及大面積應用的劣勢。依賴于單晶硅襯底做驅動電路,并且從此前蘋果公布的專利上來看,有著從藍寶石襯底轉移LED到硅襯底上的步驟,也就意味著制作一塊屏幕至少需要兩套襯底和互相獨立的工藝。這會導致成本的上升,尤其是較大面積應用時,會面臨良率和成本會有巨大的挑戰。
(對于單晶硅襯底,一兩寸已經是很大的面積了,參照全幅和更大的中畫幅CMOS感應器產品的價格)當然從技術角度來說LuxVue將驅動電路襯底轉換為石英或者玻璃來降低大面積應用成本是可行的,但這也需要時間。相比于AMOLED成熟的LTPS+OLED方案,成本沒有優勢。

圖片來源:LuxVue
2. 發光效率優勢被PHOLED威脅甚至反超。磷光OLED(Phosphorescent OLED,PHOLED)效率的提升有目共睹,UDC公司的紅綠PHOLED材料也都已經在三星Galaxy S4及后繼機型的面板上開始商用,面板功耗已經和高PPI的TFT-LCD打平或略有優勢。一旦藍光PHOLED材料的壽命問題解決并商用,無機LED在效率上也將占不到便宜。
3. 亮度和壽命被QLED威脅。QLED研究現在很熱,從QD Vision公司提供的數據來看無論效率和壽命都非常有前景,而從事這塊研究的大公司也很多。當然QLED也是OLED的強力競爭對手。
4. 難以做成卷曲和柔性顯示。OLED和QLED的柔性顯示前景很好,也已經有不少的Prototype展示,但對于LuxVue來說做成卷曲和柔性都顯得比較困難。如果要制造iWatch之類的產品,屏幕沒有一定的曲率是比較不符合審美的。
現狀
說起micro LED的發展現狀,正如Nouvoyance現任CEO也是三星OLED面板中P排列像素創始人Candice Brown-Elliott所說,在蘋果收購LuxVue之前只有很少人知道和從事該領域,而現在已經有很多人開始討論這項技術。
而兩位Micro-LED技術的專家在去年也曾表示,該技術水平還很難應用生產各種實用的屏幕面板,近期不大可能在iPhone、iPad或者iMac產品中看到這項屏幕技術。但對于較小的顯示屏,Micro-LED仍是一個可行的選擇,像Apple Watch等小型屏的應用。

VerLASE的 MicroLED陣在近眼顯示器( NED )上的應用(圖片來源:VerLASE)
其實自LuxVue被蘋果收入之后,有看到VerLASE公司宣布獲取突破性的色彩轉換技術專利,這種技術能夠讓全彩MicroLED陣列適用于近眼顯示器,之后一直沒有相關報道。最近,LEDinside從最近臺灣固態照明研討會得到消息,Leti、德州大學(Texas Tech University)和PlayNitride皆在研討會上展現自己的micro LED研發成果。
Leti推出了iLED matrix,其藍光EQE 9.5%,亮度可達107 Cd/m2;綠光EQE 5.9%,亮度可達108 Cd/m2,采用量子點實現全彩顯示,Pitch只有10 um,未來目標做到1 um。Leti近程計劃從smart lighting切入,中程2-3年進入HUD和HMD市場,搶搭VR/AR熱,遠程目標是10年內切入大尺寸display應用。
而臺灣Play Nitride公布的同樣以氮化鎵為基礎的PixeLEDTM display技術,公司目前透過移轉技術轉移至面板,轉移良率可達99%!
由此可見,Micro LED技術已經有很多企業在跟進,發展速度也在加快。但就蘋果本身來看,該技術屬蘋果實驗室階段技術,且蘋果本身也押寶了許多新興產業,故未來是否導入量產仍有待觀察。
發展的瓶頸
其實Micro LED的核心技術是納米級LED的轉運,而不是制作LED這個技術本身。由于晶格匹配的原因,LED微器件必須先在藍寶石類的基板上通過分子束外延的生長出來。而做成顯示器,必須要把LED發光微器件轉移到玻璃基板上。由于制作LED微器件的藍寶石基板尺寸基本上就是硅晶元的尺寸,而制作顯示器則是尺寸大得多的玻璃基板,因此必然需要進行多次轉運。
對于微器件的多次轉運技術難度都是特別高,而用在追求高精度顯示器的產品上難度就更大。通過此前蘋果收購Luxvue后公布的獲取專利名單也以看出,大多都是采用電學方式完成轉運過程,所以說這才是Luxvue的關鍵核心技術
臺灣錼創執行長李允立近日也表示:"Micro LED成功關鍵有二:一是蘋果、三星這些品牌廠的意愿;二是晶片搬動技術,一次搬運數百萬顆超小LED晶片,有門檻要克服。“
其實,Micro LED還面臨第三個問題,即全彩化、良率、發光波長一致性問題。單色Micro LED陣列通過倒裝結構封裝和驅動IC貼合就可以實現,但RGB陣列需要分次轉貼紅、藍、綠三色的晶粒,需要嵌入幾十萬顆LED晶粒,對于LED晶粒光效、波長的一致性、良率要求更高,同時分bin的成本支出也是阻礙量產的技術瓶頸。
Micro-LED的成長史
LED技術已經發展了近三十年,最初只是作為一種新型固態照明光源,之后雖應用于顯示領域,卻依然只是幕后英雄——背光模組。如今,LED逐漸從幕后走向臺前,迎來最蓬勃發展的時期。如今它已多次出現在各種重要場合,在顯示領域扮演著越來越重要的角色。

▲圖1 LED在 ①鳥巢 ②水立方 ③上海世博會上的應用
LED之所以能夠成為當前的關注焦點,主要歸功于它許多得天獨厚的優點。它不僅能夠自發光,尺寸小,重量輕,亮度高,更有著壽命更長,功耗更低,響應時間更快,及可控性更強的優點。這使得LED有著更廣闊的應用范圍,并由此誕生出更高科技的產品。

▲圖2 LED 大尺寸顯示屏(分辨率較低)

▲圖3 8×8 LED陣列與micro-LED陣列的對比
如今,LED大尺寸顯示屏已經投入應用于一些廣告或者裝飾墻等。然而其像素尺寸都很大,這直接影響了顯示圖像的細膩程度,當觀看距離稍近時其顯示效果差強人意。此時,micro-LED display 應運而生,它不僅有著LED的所有優勢,還有著明顯的高分辨率及便攜性等特點。
當前micro-LED display的發展主要有兩種趨勢。一個是索尼公司的主攻方向——小間距大尺寸高分辨率的室內/外顯示屏。另一種則是蘋果公司正在推出的可穿戴設備(如 Apple Watch),該類設備的顯示部分要求分辨率高、便攜性強、功耗低亮度高,而這些正是micro-LED的優勢所在。
Micro-LED display 已經發展了十數年,期間世界上多個項目組發布成果并促進著相關技術進一步發展。例如,2001年日本Satoshi Takano團隊公布了他們的研究的一組micro-LED陣列。
該陣列采用無源驅動方式,且使用打線連接像素與驅動電路,并將紅綠藍三個LED芯片放置在同一個硅反射器上,通過RGB的方式實現彩色化。該陣列雖初見成效,但也有著不容忽視的缺點,其分辨率與可靠性都還很低,不同LED的正向導通電壓差別比較大[1]。
同年,H. X. Jiang團隊也同樣做出了一個無源矩驅動的10×10 micro-LED array。這個陣列創新性的使用四個公共n電極和100個獨立p電極。并采用復雜的版圖設計以盡量最優化連線布局。雖然顯示效果有一定的進步,但沒有解決集成能力低的問題[2]。

▲圖4 H. X. Jiang團隊的10×10 陣列連線布局
另一個比較突出的成果是在2006年由香港科技大學團隊公布的。同樣采用無源驅動,使用倒裝焊技術集成Micro-LED 陣列[3]。但是同一行像素的正向導通電壓也差別比較大,而且當該列亮起的像素數目不同時,像素的亮度也會受到影響,亮度的均勻性還不夠好。

▲圖5 香港科技大學團隊成果展示
2008年,Z. Y. Fan團隊公布另一個無源驅動的120×120的微陣列,其芯片尺寸為3.2mm×3.2mm,像素尺寸為20×12μm,像素間隔為22μm。尺寸方面已經明顯得到優化,但是,依然需要大量的打線,版圖布局仍然十分復雜[4]。
而同年Z. Gong團隊公布的微陣列,依然采用無源矩陣驅動,并使用倒裝焊技術集成。該團隊做出了藍光(470nm)micro-LED陣列和UV micro-LED(370nm)陣列,并成功通過UV LED陣列激發了綠光和紅光量子點證明了量子點彩色化方式的可行性[5]。

▲圖6 UV micro-LED 陣列

▲ 圖7 Micro-LED 陣列與Si-CMOS的集成
此外,在該年,B. R. Rae 團隊成功集成了 Si-CMOS 電路,該電路可為UV LED提供合適的電脈沖信號,并集成了SPAS (single photo avalanche diode )探測器,主要應用于在便攜式熒光壽命讀寫器。然而其驅動能力比較弱,且工作電壓很高[6]。
2009年,香港科技大學Z. J. Liu所在團隊利用UV micro-LED陣列激發紅綠藍三色熒光粉,得到了全彩色的微LED顯示芯片[7]。2010年該團隊分別利用紅綠藍三種LED外延片制備出360 PPI的微LED顯示芯片[8],并把三個芯片集成在一起實現了世界上首個去背光源化的全彩色微LED投影機[9]。

▲圖8 世界上首個去背光源的全彩色micro-LED投影機
之后,Z. J. Liu所在的香港科技大學團隊與中山大學團隊合力將微LED顯示的分辨率提高到1700 PPI,像素點距縮小到12微米,采用無源選址方式+倒裝焊封裝技術[10]。與此同時他們還成功制備出分辨率為846 PPI的WQVGA 有源選址微LED顯示芯片,并在該芯片中集成了光通訊功能[11]。

▲圖9 1700 PPI micro-LED微顯示芯片
這些僅是micro-LED發展歷史中比較重要的一些成果。之后,關于micro-LED的探索不斷深入,更多的進展不斷被公布,包括進一步減小尺寸,提高亮度的均勻性等,關于其驅動方式,制備工藝及彩色化的實現等方面也有著諸多討論,這些將在后續系列中進行介紹。
Micro-LED display彩色化的3大主要技術手段
Micro-LED display的彩色化是一個重要的研究方向。在當今追求彩色化以及其高分辨率高對比率的嚴峻趨勢下,世界上各大公司與研究機構提出多種解決方式并在不斷拓展中,本文將對主要的幾種Micro-LED彩色化實現方法進行討論,包括RGB三色LED法、UV/藍光LED+發光介質法、光學透鏡合成法。
一、 RGB三色LED法
RGB-LED全彩顯示顯示原理主要是基于三原色(紅、綠、藍)調色基本原理。眾所周知,RGB三原色經過一定的配比可以合成自然界中絕大部分色彩。同理,對紅色-、綠色-、藍色-LED,施以不同的電流即可控制其亮度值,從而實現三原色的組合,達到全彩色顯示的效果,這是目前LED大屏幕所普遍采用的方法[1]。
在RGB彩色化顯示方法中,每個像素都包含三個RGB三色LED。一般采用鍵合或者倒裝的方式將三色LED的P和N電極與電路基板連接,具體布局與連接方式如圖1所示[2]。
之后,使用專用LED全彩驅動芯片對每個LED進行脈沖寬度調制(PWM)電流驅動,PWM電流驅動方式可以通過設置電流有效周期和占空比來實現數字調光。例如一個8位PWM全彩LED驅動芯片,可以實現單色LED的28=256種調光效果,那么對于一個含有三色LED的像素理論上可以實現256*256*256=16,777,216種調光效果,即16,777,216種顏色顯示。具體的全彩化顯示的驅動原理如圖2所示[2]。
但是事實上由于驅動芯片實際輸出電流會和理論電流有誤差,單個像素中的每個LED都有一定的半波寬(半峰寬越窄,LED的顯色性越好)和光衰現象,繼而產生LED像素全彩顯示的偏差問題。

▲圖1 RGB全彩色顯示的單像素布局示意圖

▲圖2 RGB全彩色顯示驅動原理示意圖
二、 UV/藍光LED+發光介質法
UV LED(紫外LED)或藍光LED+發光介質的方法可以用來實現全彩色化。其中若使用UV micro-LED, 則需激發紅綠藍三色發光介質以實現RGB三色配比; 如使用藍光micro-LED則需要再搭配紅色和綠色發光介質即可,以此類推。該項技術在2009年由香港科技大學劉紀美教授與劉召軍教授申請專利并已獲得授權(專利號:US 13/466,660, US 14/098,103)。
發光介質一般可分為熒光粉與量子點(QD: Quantum Dots)。納米材料熒光粉可在藍光或紫外光LED的激發下發出特定波長的光,光色由熒光粉材料決定且簡單易用,這使得熒光粉涂覆方法廣泛應用于LED照明,并可作為一種傳統的micro-LED彩色化方法。
熒光粉涂覆一般在micro-LED與驅動電路集成之后,再通過旋涂或點膠的方法涂覆于樣品表面。圖3則是一種熒光粉涂覆方法的應用,其中(a)圖顯示一個像素單元中包含紅綠藍4個子像素,圖(b)則顯示了micro-LED點亮后的彩色效果[3]。
該方式直觀易懂卻存在不足之處,其一熒光粉涂層將會吸收部分能量,降低了轉化率;其二則是熒光粉顆粒的尺寸較大,約為1-10微米,隨著micro-LED 像素尺寸不斷減小,熒光粉涂覆變的愈加不均勻且影響顯示質量。而這讓量子點技術有了大放異彩的機會。

(a) (b)
▲圖3 熒光粉彩色化micro-LED的像素設計及顯示效果
量子點,又可稱為納米晶,是一種由II-VI族或III-V族元素組成的納米顆粒。量子點的粒徑一般介于1~10nm之間,可適用于更小尺寸的micro-display。量子點也具有電致發光與光致放光的效果,受激后可以發射熒光,發光顏色由材料和尺寸決定,因此可通過調控量子點粒徑大小來改變其不同發光的波長。
當量子點粒徑越小,發光顏色越偏藍色;當量子點越大,發光顏色越偏紅色。量子點的化學成分多樣,發光顏色可以覆蓋從藍光到紅光的整個可見區。而且具有高能力的吸光-發光效率、很窄的半高寬、寬吸收頻譜等特性,因此擁有很高的色彩純度與飽和度。且結構簡單,薄型化,可卷曲,非常適用于micro-display的應用[4]。
目前常采用旋轉涂布、霧狀噴涂技術來開發量子點技術,即使用噴霧器和氣流控制來噴涂出均勻且尺寸可控的量子點,裝置與原理示意圖如圖4所示[5]。將其涂覆在UV/藍光LED上,使其受激發出RGB三色光,再通過色彩配比實現全彩色化,如圖5所示[5]。
但是上述技術存在的主要問題為各顏色均勻性與各顏色之間的相互影響,所以解決紅綠藍三色分離與各色均勻性成為量子點發光二極管運用于微顯示器的重要難題之一。
此外,當前量子點技術還不夠成熟,還存在著材料穩定性不好、對散熱要求高、且需要密封、壽命短等缺點。這極大了限制了其應用范圍,但隨著技術的進步和成熟,我們期待量子點將有機會扮演更重要的角色。

▲ 圖4 (a)高精度霧化噴涂系統(Aerosol jet technology)及其(b)原理圖。

▲圖5 利用高精度噴涂技術制作紅、綠、藍三原色陣列示意圖
三、 光學透鏡合成法
透鏡光學合成法是指通過光學棱鏡(Trichroic Prism)將RGB三色micro-LED合成全彩色顯示。具體方法是是將三個紅、綠、藍三色的micro-LED陣列分別封裝在三塊封裝板上,并連接一塊控制板與一個三色棱鏡。
之后可通過驅動面板來傳輸圖片信號,調整三色micro-LED陣列的亮度以實現彩色化,并加上光學投影鏡頭實現微投影。整個系統的實物圖與原理圖如圖6所示,顯示效果如圖7所示[6]。

▲圖6棱鏡光學合成法的a), b) 實物圖,c) 原理示意圖

▲圖7棱鏡光學合成法的顯示效果
解密Micro-LED三種不同的驅動方式
Micro-LED是電流驅動型發光器件,其驅動方式一般只有兩種模式:無源選址驅動(PM:Passive Matrix,又稱無源尋址、被動尋址、無源驅動等等)與有源選址驅動(AM:Active Matrix,又稱有源尋址、主動尋址、有源驅動等),本文還將分析一種 “半有源”選址驅動方式。這幾種模式具有不同的驅動原理與應用特色,下面將通過電路圖來具體介紹其原理。
什么是PM驅動模式?
無源選址驅動模式把陣列中每一列的LED像素的陽極(P-electrode)連接到列掃描線(Data Current Source),同時把每一行的LED像素的陰極(N-electrode)連接到行掃描線(Scan Line)。
當某一特定的第Y列掃描線和第X行掃描線被選通的時候,其交叉點(X,Y)的LED像素即會被點亮。整個屏幕以這種方式進行高速逐點掃描即可實現顯示畫面,如圖1所示。[1,2]這種掃描方式結構簡單,較為容易實現。

但不足之處是連線復雜(需要X+Y根連線),寄生電阻電容大導致效率低,像素發光時間短(1場/XY)從而導致有效亮度低,像素之間容易串擾,并且對掃描信號的頻率需求較高。
另外一種優化的無源選址驅動方式是在列掃描部分加入鎖存器,其作用是把某一時刻第X行所有像素的列掃描信號(Y1, Y2… … Yn)提前存儲在鎖存器中。
當第X行被選通后,上述的Y1-Yn信號同時加載到像素上[3]。這種驅動方式可以降低列驅動信號頻率,增加顯示畫面的亮度和質量。但仍然無法克服無源選址驅動方式的天生缺陷:連線龐雜,易串擾,像素選通信號無法保存等。而有源選址驅動方式為上述困難提供了良好的解決方案。
什么是AM驅動模式?
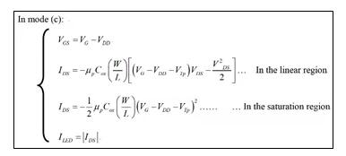
在有源選址驅動電路中,每個Micro-LED像素有其對應的獨立驅動電路,驅動電流由驅動晶體管提供?;镜挠性淳仃囼寗与娐窞殡p晶體管單電容(2T1C:2 Transistor 1 Capacitor)電路,如圖2所示[4]。

圖2 有源選址驅動方式
每個像素電路中使用至少兩個晶體管來控制輸出電流,T1為選通晶體管,用來控制像素電路的開或關。T2是驅動個晶體管,與電壓源聯通并在一場(Frame)的時間內為Micro-LED提供穩定的電流。
該電路中還有一個存儲電容C1來儲存數據信號(Vdata)。當該像素單元的掃描信號脈沖結束后,存儲電容仍能保持驅動晶體管T2柵極的電壓,從而為Micro-LED像素源源不斷的驅動電流,直到這個Frame結束。
2T1C驅動電路只是有源選址Micro-LED的一種基本像素電路結構,它結構較為簡單并易于實現。但由于其本質是電壓控制電流源(VCCS),而Micro-LED像素是電流型器件,所以在顯示灰度的控制方面會帶來一定的難度,這一點我們在后面的《Micro-LED的彩色化與灰階》部分中會討論。
劉召軍博士課題組曾提出一種4T2C的電流比例型Micro-LED像素電路,采用電流控制電流源(CCCS)的方式,在實現灰階方面具有優勢[5]。
什么是“半有源”選址驅動方式
另外需要提及的是一種 “半有源”選址驅動方式[6]。這種驅動方式采用單晶體管作為Micro-LED像素的驅動電路(如圖3所示),從而可以較好地避免像素之間的串擾現象。

三大驅動方式對比
與無源選址相比,有源選址方式有著明顯的優勢,更加適用于Micro-LED這種電流驅動型發光器件。現詳細分析如下:
① 有源選址的驅動能力更強,可實現更大面積的驅動。而無源選址的驅動能力受外部集成電路驅動性能的影響,驅動面積于分辨率受限制。
② 有源選址有更好的亮度均勻性和對比度。在無源選址方式中,由于外部驅動集成電路驅動能力的有限,每個像素的亮度受這一列亮起像素的個數影響。一般來說,同一列的Micro-LED像素共享外部驅動集成電路的一個或多個輸出引腳的驅動電流。
所以,當兩列中亮起的像素個數不一樣的時,施加到每個LED像素上的驅動電流將會不一樣,不同列的亮度就會差別很大。這個問題將會更加嚴重地體現在大面積顯示應用中,如LED電視與LED大屏幕等。同時隨著行數和列數的增加,這個問題也會變得更嚴峻。
③ 有源選址可實現低功耗高效率。大面積顯示應用需要比較大的像素密度,因此就必須盡可能減小電極尺寸,而驅動顯示屏所需的電壓也會極大的上升,大量的功率將損耗在行和列的掃描線上,從而導致效率低下。
④ 高獨立可控性。無源選址中,較高的驅動電壓也會帶來第二個麻煩,即串擾,也就是說,在無源選址LED陣列中,驅動電流理論上只從選定的LED像素通過,但周圍的其他像素將會被電流脈沖影響,最終也會降低顯示質量。有源選址方式則通過由選通晶體管和驅動晶體管構成的像素電路很好的避免了這種現象。
⑤ 更高的分辨率。有源選址驅動的更適用于高PPI高分辨率的Micro-LED顯示。
而第三種“半有源”驅動雖然可以較好地避免像素之間的串擾現象,但是由于其像素電路中沒有存儲電容,并且每一列的驅動電流信號需要單獨調制,并不能完全達到上面列出的有源選址驅動方式的全部優勢。
以藍寶石襯底上外延生長的藍光Micro-LED為例,像素和驅動晶體管T2的連接方式有圖4所示的4種。但由于LED外延生長結構是p型氮化鎵(GaN)在最表面而n型氮化鎵在底層,如圖5所示。


從制備工藝角度出發驅動晶體管的輸出端與Micro-LED像素的p電極連接較為合理,即圖4中的(a)和(c)。圖4(a)中Micro-LED像素連接在N型驅動晶體管的源極(Source)。由外延生長(Epitaxial Growth)、制備工藝、及器件老化所產生的不均勻性所導致的Micro-LED電學特性的不均勻性將會直接影響驅動晶體管的VGS,從而造成顯示圖像的不均勻。
而圖4(c)中的Micro-LED像素連接在P型驅動晶體管的漏極(Drain),可以避免上述影響,其電流-電壓關系圖6所示。因此,有P管像素電路驅動Micro-LED較為適宜。

圖6 Micro-LED與驅動晶體管的電流-電壓關系
MicroLED的真正技術難點
截止今日,LED都沒有被用作為小間距顯示屏中的直接發光元件,即像素。這種現象是由許多問題造成的,包括成本和制造可行性。但是,使用MicroLED和亞毫米像素間距生產顯示屏的想法可以追溯到LED起步時期。
在過去五年中,開發基于MicroLED的顯示器興趣大增,尤其是2014年蘋果公司收購Luxvue之后。去年10月,Facebook收購沉浸式虛擬現實技術公司Oculus;而今年5月,夏普收購了另外一家MicroLED的新創公司eLux,以及最近Google注資瑞典Micro LED制造商Glo。
鑒于這些收購,證明microLED不只僅是停留在實驗室。那么,這些大品牌為什么對這項技術這么感興趣呢?因為microLED可以將獨立的紅色、綠色和藍色子像素作為獨立可控的光源,能夠形成具有高對比度、高速和寬視角的顯示器。
事實上,MicroLED顯示器比OLED的對手要強很多,因為MicroLED有更寬的色域、帶來更高的亮度、更低的功耗、更長的使用壽命、更強的耐用性和更好的環境穩定性。此外,如蘋果最近的專利文件所示,MicroLED可以集成傳感器和電路,實現具有嵌入式感測功能的薄型顯示器,如指紋識別和手勢控制。
雖然MicroLED仍然還未進入市場,但是它們還不只是停留在紙上的想法。在2012年1月的“International CES”上,索尼就展出了1920×1080像素的55英寸MicroLED顯示器,包含620萬個子像素,每個都是可獨立控制的MicroLED芯片,受到媒體的強烈關注。但是,索尼對于商業化還沒有給出時間表,到目前為止,沒有一臺microLED電視機進入市場。
MicroLED本質上是一項很復雜的技術
今天,MicroLED還沒有一個普遍認可的定義。但是,一般來說,MicroLED被認為是總表面小于2500 mm2的LED芯片。這相當于是50mm×50mm的正方形,或直徑為55mm的圓形芯片。 根據這一定義,microLED今天已經出現在市場上了: 索尼在2016年再次亮相,采用小間距大型LED視頻墻的形式,傳統的LED封裝由MicroLED替代。
制造MicroLED顯示器的技術涉及方方面面:將LED基板加工成準備用于拾取和轉移到接收基板的MicroLED陣列,用于集成到非均勻集成的系統中:顯示器。顯示器又集成LED、像素驅動晶體管、光學器件等。外延片可容納數億MicroLED芯片。
實現Microled顯示屏有兩個主要選項。一個是將MicroLED單獨或分組地拾取并轉移到薄膜晶體管驅動矩陣上,這類似于OLED顯示器中使用的;另一個是使用CMOS驅動電路將數十萬個MicroLED的完整單片陣列組合起來。
如果采用這兩種方法中的第一種,則組裝一個4K顯示器需要拾取、放置和單獨連接2500萬個MicroLED芯片(假設沒有像素冗余)到晶體管背板。用傳統的拾放設備操縱這樣的小型設備,每小時的加工速度約為25,000個單位。這太慢了, 組裝單個顯示器將需要一個月的時間。
為了解決這個問題,像蘋果、X-Celeprint等數十家公司已經開發出大規模的并聯抓取技術。他們可以同時加工數萬到數百萬的MicroLED。但是,當MicroLED尺寸僅為10μm時,以足夠的精度加工和放置非常具有挑戰性。
還有一些與LED芯片相關的問題要克服。當其尺寸非常小時,其性能會受到與表面和內部缺陷(例如開放式粘合、污染和結構損壞)相關的側壁效應的影響。這些缺陷導致非輻射載體重組加速。側壁效應可以延伸到類似于載體擴散長度的距離(通常為1mm至10mm):這在傳統的LED中并不重要,因為其具有數百微米的邊緣,但在MicroLED中卻是十分致命的。在這些設備中,它可以限制芯片整個體積的效率。
由于這些缺陷,MicroLED的峰值效率通常低于10%,當設備尺寸低于5mm時,它的峰值效率可能小于1%,這遠遠低于目前最好的傳統藍光發射的“macro”LED,它現在可以產生超過70%的外部量子峰值效率。
更糟的是,MicroLED通常必須以非常低的電流密度運行。它們通常在低于1-10 A cm-2峰值效率區域驅動,因為即使在這種低效率下,LED也是非常明亮的。如果一臺帶MicroLED的手機以其最高效率運行,其顯示屏將提供高達數以萬計nits的亮度,比目前市場上更亮的手機高出一個級別。屏幕會很亮,以至于膽大的用戶都不敢看。
當LED以非常低的電流密度工作時,它們的效率非常低,使得該技術不能實現其削減能量消耗的承諾。因此,解決這個問題就成為MicroLED公司的優先事項。提高效率的辦法包括引入新的芯片設計和改進制造技術。這兩種方法都可以減少側壁缺陷并使電載體遠離芯片的邊緣。
MicroLEDs的開發人員也面臨與色彩轉換、光提取和光束成形有關的挑戰。
現代顯示屏的另一個要求就是消除壞點或有缺陷的像素。在外延、芯片制造和轉移方面實現100%的綜合收益率是不太可能的,所以MicroLED顯示器制造商必須制定有效的缺陷管理策略,可以包括像素冗余和單個像素修復,這得取決于顯示器的特性和成本。
目前MicroLED最容易實現的領域
MicroLED能夠部署在從最小到最大的任何顯示應用中。在許多情況下,它們將比LCD和OLED顯示器的最終組合更好。但是,生產可行性和經濟成本限制了其使用。然而,詳細的分析表明,智能手表和其他可穿戴產品,如AR / MR應用的微型顯示器,最能顯示MicroLED顯示器的性能。
其中,在智能手表上實現MicroLED是最有可能的,因為智能手表具有相對較少的像素數和中等范圍的像素密度,因此,芯片和組裝成本效率高,也最接近MicroLED當前技術發展的狀態。它們具有潛在的差異化功能,包括能夠延長電池壽命、降低功耗以及更高的亮度,從而提供戶外環境下良好的可讀性。
如果這些顯示器開始大量出現,那么在顯示器前端平面內可引入各種傳感器,例如可以讀取指紋并提供手勢識別。
MicroLED的另一個主要機會就是增強現實(AR)和混合現實(MR)的頭戴式顯示器。在虛擬現實中,用戶佩戴完全封閉的頭戴式顯示器將其與外界視覺隔離;而AR和MR應用則將計算機生成的圖像覆蓋到現實世界中。

MicroLED顯示器是通過將晶片切割成微小器件,并以并行拾取和放置技術將其轉移到晶體管底板
這些應用的要求之一是,覆蓋的圖像要足夠亮,可與環境光競爭,特別是在戶外應用中。
為了滿足這些條件,顯示器必須放在不引人注意的位置,使用光學效率小于10%的復合投影或波導光學器件將圖像投影到眼睛上。這些要求決定了顯示器的亮度范圍從10,000到50,000 Nits,這比市場上最好的手機的亮度高出10倍到50倍。
今天,MicroLED是唯一有潛力提供這些亮度水平的候選,同時保持合理的功耗和緊湊性。令人鼓舞的是,同樣的推理可以應用于汽車和其他環境中的平視顯示器中,這類顯示器可以被認為是AR的一種形式。
MicroLED想努力產生影響的市場就是智能手機。目前,OLED顯示器已經以非常有競爭力的成本提供了非常出色的性能。如果MicroLED也參與其中,則子像素的尺寸必須減小到幾微米,這樣的話,提供可接受的效率會更難。
在電視上取得成功的可能則更高。在這種情況下,缺點是像素密度相對較低,在4K、55英寸電視中的間距約為100毫米。低密度阻礙了轉移技術的效率,因為每個周期需要移動數千個芯片,而智能手機或智能手表則是數十萬個。想在這個市場上蓬勃發展,就需要開發替代的高效率裝配技術。
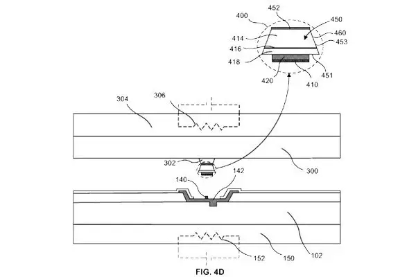
Micro LED核心技術在誰手里?
在Micro LED的生產過程中,由于元件的微縮,有許多問題尚待克服或改善,而制程中轉移技術則是產品能否量產且達商業產品之標準的關鍵。
依據顯示基板尺寸不同,大致可分二種轉移形式,第一種是小尺寸顯示基板,使用半導體制程整合技術,將LED直接鍵結于基板上,技術代表廠商為臺工研院,第二種是用于大尺寸(或無尺寸限制)的顯示基板,使用pick-and-place的技術,將Micro LED陣列上的畫素分別轉移到背板上,代表廠商為Apple (LuxVue)、X-Celeprint等,其他廠商例如Sony、eLux等亦有相關轉移技術。
Micro LED相關專利介紹
♦ 臺工業技術研究院
(A) 專利名稱:發光元件的轉移方法以及發光元件陣列
公告號:TW I521690
優先權:US 61/511,137
此篇專利系有關發光元件的轉移方法,步驟為先于基板1上形成多個LED陣列之排列,一個陣列為一種顏色的LED,例如圖1中紅光、綠光、藍光各自為一陣列。
轉移過程需要透過多次焊接步驟,依序將基板1上的LED移轉到基板2的預定位置,所以如圖2所示,每次焊接前先用保護層蓋住沒有要移轉的LED,再將要移轉的LED之導電凸塊與基板2的接墊接合,最后基板1的LED將全數轉移到基板2上。

圖1. 專利TW I521690之圖3(圖片來源:TIPO)

圖2. 專利TW I521690之圖H-J(圖片來源:TIPO)
在這篇專利中似乎沒有特別提及LED的尺寸或是與Micro LED相關的字詞,但在其具有相同優先權的美國的對應案中,有提到發光元件為1至100微米,而間距(pitch)則可依實際產品之需求而調整,如圖3中說明書內文以及表格所示。

圖3. 專利US 14/583594(圖片來源: USPTO)
(B) 專利名稱:發光元件以及顯示器的制作方法
公告號:TW I590433
這件臺工研院的專利也是有關Micro LED的制造技術,但其方法與上一篇截然不同。首先,在基板上形成LED陣列,其中半導體磊晶結構、第一電極以及第二電極構成發光二極管芯片,而發光元件包含發光二極管芯片及球狀延伸電極,完成后將發光元件從基板移除。
接著透過噴嘴將發光元件噴出,借由發光元件與噴嘴的磨擦,使球狀延伸電極帶有靜電電荷,而接收基板的接點則透過電路結構傳送電訊號使其亦帶有靜電電荷,在說明書的實施例中球狀延伸電極帶有正電荷而接點則帶有負電荷。
如圖4所示,透過例如搖篩的方式,使發光元件落入接收基板的開孔中,由于球狀延伸電極的體積大于發光二極管芯片的體積,因此在落下的過程中,發光元件的球狀延伸電極轉向下落入孔中與皆點接觸。

圖4. 專利TW I590433之圖P、S、T(圖片來源:TIPO)
♦ Apple (LuxVue)
LuxVue在2014被Apple并購,其所擁有的Micro LED相關專利是眾家廠商中最多的,在轉移技術上其主要是采用靜電吸附的巨量轉移技術。
專利名稱:Micro device transfer head array
公告號:US 9548233 B2
為了達到更好的轉移效率,使用巨量轉移技術的廠商不斷開發出各式各樣的轉移頭,而Apple這篇專利的特殊之處在于其轉移頭具有雙極的結構,可以分別施予正負電壓。
轉移頭的平臺結構被介電層對半分離形成一對硅電極,當要抓取基板上的LED時,對一硅電極通正電,對另一硅電極通負電即可將目標LED拾取。

圖5. US 9548233的Figs. 1B, 34, 35(圖片來源:USPTO)
♦ X-Celeprint
專利名稱:Micro device transfer head array
公開號:US 2017-0048976 A1
X-Celeprint的巨量轉移技術Micro-Transfer-Printing (μTP)是用壓印頭在LED上施壓,利用凡得瓦力讓LED附著在壓印頭上后,再從來源基板上將其拾取,移至目標基板上的預定位置上后,壓印頭連同LED壓向目標基板,使LED上的連接柱插入背板接觸墊后完成LED轉移。

圖6. 專利US2017-0048976之Figs. 5-6(圖片來源:USPTO)
♦ eLux
據報導,鴻海將收購Micro LED新創公司eLux,該公司在專利上有二點值得注意。首先是其轉移技術與市場主流不同,其次是其在美國申請的專利,利用CIP方式大量串接Sharp與自己的專利(如圖8所示)。
專利名稱:System and Method for the Fluidic Assembly of Emissive Displays
公開號:2017-0133558 A1
eLux的轉移技術是利用刷桶在基板上滾動,液體懸浮液中含有LED,進而讓LED落入基板上的對應井中。

圖7. 專利US2017-0048976之Figs. 5-6(圖片來源:USPTO)

圖8. eLux美國專利狀態(圖片來源:USPTO)
準分子激光器提升Micro-LED制造工藝
于無機 III-V 半導體(例如 GaN)的 Micro-LED (µLED) 可用于制造電效率、亮度、像素密度、使用壽命和應用范圍遠超現有技術的顯示屏,前景可觀。然而,要實現從當前 LED 器件(約 200 µm)到 µLED(約 20 µm)的過渡,必須有技術創新的支撐,尤其是實現 µLED 顯示屏組裝方面的創新。本文將介紹如何通過準分子激光器解決此加工過程中最為棘手的兩個難題。
激光剝離技術 (LLO)
由于藍寶石晶片的晶格失配度和成本均相對較低,因此當前大多數 LED 制造工藝采用藍寶石晶片作為 MOCVD 晶體生長的基板。但由于藍寶石的導熱和導電性較差,會限制可提取的光通量,因此藍寶石并非成品 GaN LED 的理想載體材料。其結果導致,在生產高亮度 GaN LED 的過程中,最后需要添加一步操作,將器件粘合到最終或臨時載體上,然后再將器件與“犧牲層”藍寶石基板分離。對于 µLED 而言,為了制造組成柔性顯示屏的小尺寸薄型器件,顯然必須去除藍寶石基板。

圖1. 通過激光剝離技術去除藍寶石基板的流程示意圖 a) 器件晶體生長并附著到載體基板 b) 激光束穿透藍寶石基板 c) 去除藍寶石基板
利用準分子激光器進行激光剝離是去除藍寶石基板的最常用方法。在加工過程中,高強度激光脈沖會穿透藍寶石基板(波長 248 nm 的準分子激光束可以穿透),直接照射到 LED 晶片上。同時,GaN 層大量吸收紫外光,并有很薄的一層分解成鎵和氮氣。所形成的氣壓會把器件推離基板,在幾乎不對器件產生任何作用力的情況下實現器件與基板的分離。鎵可以用水或稀鹽酸洗掉,以保持器件表面的清潔。
除波長外,準分子激光器的另外一個重要特性是脈沖短(約 10-20 ns),這有助于抑制熱擴散并最大限度降低器件的熱負荷。此外,準分子激光器輸出的激光可以形成沿兩個軸能量均勻分布的細長光束(平頂光束)。(圖 2)例如,相干公司 UVblade 系統提供的 155 mm x ~0.5 mm 光束的能量均勻度優于 2% 標準方差(sigma)。如此一來,所有加工區域將接受相同且最佳的能量通量,從而避免在加工過程中遇到能量過沖或過大熱負荷的問題,這個問題在能量強度呈高斯分布的其他激光加工中經常出現。

圖2. UVblade (248 nm) 的 155 mm 激光束輪廓,含短軸 (SA) 和長軸 (LA)。
請注意,兩個軸刻度的差異達到了兩個數量級。
準分子 LLO 實質上是一個單脈沖過程,因此對激光束均勻度和穩定性的要求極高。激光器制造商相干公司已開發了能夠滿足這一需求的產品,這些產品提供卓越的脈沖穩定性(例如 < 1% rms),能夠大大提高加工過程中的工藝控制并幫助用戶增大工藝區間。

圖3. 配備 LEAP 準分子激光器和光束光學元件的 UVblade LLO 系統。
作業過程中,準分子激光器光束掃掠基板,通過照射整個加工區域實現器件分離。如果要重點實現高產能,線束會相應調整,從而在單次掃描中完整覆蓋藍寶石晶片(2"、4" 或 6")。這種方法需要中等強度激光(例如 50 到 100 W)。有效熱膨脹系數失配導致的薄膜內應力會均勻釋放,從而進一步降低對器件的影響。因此,這種 248 nm 方法是實現 LLO 最常用的方法。
另外一種LLO策略是使用尺寸較小的光束和光柵掃描整個晶片。如,相干公司有一種 UVblade 系統產生長26mm,寬 0.5 mm 的光束,僅需掃描兩次即可覆蓋2"晶片。這種典型系統僅需要功率30W,波長248 nm的激光。光柵掃描方法需要在掃描方向上實現單次照射的受控重疊,以及掃描之間的重疊。
激光誘導前向轉移 (LIFT)
組裝包含數百萬µLED芯片的高分辨率顯示屏面臨獨特的難題。在這個領域,248nm準分子激光器同樣是將GaN從原始載體精準剝離的理想選擇。生成的氮氣會膨脹并在µLED結構上產生機械力,從而把芯片從原始載體推向接收基板。通過結合使用大截面光束、掩膜板和投影光學元件,只需一次激光照射即可并行傳送多達1000個芯片。
該工藝還有另外一種方式,使用聚合物粘合劑把µLED預先組裝在臨時載體晶片或膠帶上。這些粘合劑極易吸收紫外線。在準分子激光的照射下,粘合劑會發生光化學分解反應,從而與µLED芯片分離并產生把芯片推向接收基板的作用力。照射聚合物膠帶或粘合劑所需的能量強度可能只有LLO所需能量的二十分之一到五分之一。這意味著只需中等強度的激光,就可以達到非常高的處理速度。

圖4. µLED 組裝流程(使用 LLO 和 LIFT)示意圖。
總之,在顯示屏加工準分子激光退火 (ELA) 和高亮度 LED 激光剝離 (LLO) 領域有著良好表現的準分子激光器,在新興的 µLED 領域也展現出了巨大潛力。準分子激光器擁有紫外線波長短、脈沖短、高能量、高功率等特性,這讓它與 LED 制造領域常用的 III-V 材料極為契合。尤其是 248 nm 準分子激光器,能夠打破該應用領域目前使用的 266 nm 或 213 nm 固態激光器在性能方面的限制。這能夠推動實現高生產率、高性價比的工藝策略。
韓KIMM研發Micro LED量產制造新技術卷軸轉移工藝
韓國未來創造科學部轄下的韓國機械材料研究院(KIMM)7月24日宣布,該研究所在全球首次采用“卷軸轉移工藝(roll transfer process)”研發Micro LED面板制造技術。
該研究所的納米應用力學團隊利用卷軸轉移工藝研發了“Micro LED面板”生產技術,發光效率提高三倍,功耗降低50%。利用這一研究成果,有望實現Micro led顯示屏制造,比制造傳統LED顯示器快10,000倍。
卷對卷轉移工藝是韓國機械和材料研究所的專利技術,將TFT元件拾起并放置在所需的基板上,再將LED元件拾起并放置在放有TFT元件的基板上,從而完成結合了兩大要素的有源矩陣型Micro LED面板。
隨著生產步驟的減少,生產速度大大提高。目前用于制造傳統led顯示屏的固晶機每秒可在基板上貼裝1到10個LED,但是通過滾動轉移技術,每秒可以轉移10,000余個LED。通過目前的方法生產全高清200萬像素的100英寸數字標牌需要30多天,但滾動轉移工藝可以在一個小時內完成整個過程,并大大降低了加工成本。
X-Celeprint制作Micro LED陣列的μTP技術
μTP技術最初是由美國Illinois University的John A. Rogers等人利用犧牲層濕蝕刻和PDMS轉貼的技術,將Micro LED轉貼至可撓式基板或玻璃基板上來制作Micro LED陣列的技術,該技術于2006年Spin-out給Semprius公司,而2013年X-Celeprint獲得Semprius技術授權,并于2014年初開始正式運營。
什么是μTP技術
μTP技術,簡單的來說,就是使用彈性印模(stamp)結合高精度運動控制打印頭,有選擇的拾?。╬ick-up)微型元器件的陣列,并將其打?。╬rinting)到目標基板上。
具體來說就是,首先在“源”晶圓上制作微型芯片,然后通過移除半導體電路下面的犧牲層(sacrificial layer)進行“釋放”(Release),使微型芯片脫離原來的基板。隨后,用一個與“源”晶圓相匹配的微結構彈性印模來拾取微型芯片,并將其轉移到目標基板上。


該技術可以通過改變打印頭的速度,選擇性地調整彈性印模和被轉移器件之間的黏附力,從而準確地控制裝配工藝。當印模移動較快時黏附力增大,從而使被轉移元件脫離源基板;相反地,當印模遠離鍵合界面且移動較慢時,黏附力變得很小,被打印元件便會脫離印模,然后被轉印在目標基板。
上文提到的印??梢酝ㄟ^定制化的設計實現單次拾取和打印多個器件,從而短時間內高效的轉移成千上萬個器件,因此這項工藝流程可以實現大規模并行處理。
μTP技術實際應用中的工藝流程

微轉印工藝流程:圖1:彈性印模接近晶圓;圖2:彈性印模拾起芯片;圖3:彈性印模接近目標基板;圖4:印模將芯片“印刷”(放置)在目標基板上
據X-celeprint此前表示,該技術已經在眾多“可印刷”微型器件中得到驗證,包括激光器、LED、太陽能電池和各種材料(硅、砷化鎵、磷化銦、氮化鎵和包括金剛石在內的介電薄膜)的集成電路。

基于GaAs的紅色microLED印刷案例
μTP技術轉印器件的原理過程
大多數情況下,需要轉印的半導體器件首先會從“源”晶圓上得到釋放,該方法利用了器件層下方的犧牲層(sacrificial layer)。

絕緣體上硅(SOI)晶圓的結構是在一層1微米厚的氧化層(Box: Barrier Oxide)上面制備一層5微米厚的單晶硅層。然后在單晶硅層上面采用標準SOI晶體管加工工藝制備各種器件和集成電路。不難看出SOI晶圓的氧化層可以作為天然的犧牲層,所以它將會是一種非常方便、隨時可用的“源”晶圓。

簡單介紹一下SOI加工工藝:
首先按照CMOS工藝標準,用光刻和刻蝕的工藝對SOI晶圓表面的單晶硅層進行圖形化,露出下面的Box層。然后對圖形化后的單晶硅進行封裝保護。用氫氟酸刻蝕去除器件下方的BOx層,在此過程中ILD和布線層受到保護而不會損傷。
當器件下方的Box層被完全去除后,器件將會從晶圓中完全脫離出來,并通過器件層中的栓繩(Tether)來進行位置固定。在轉印期間,栓繩(Tether)可以通過可控的方式斷裂或切開。

氮化鎵晶體管在si晶圓(111)制作而成,反應離子刻蝕(RIE)將通過通孔穿過器件層,向下直至硅基板,實現單個器件的分離。在該步驟中使用了二氧化硅掩膜。通過等離子體增強化學氣相沉積法(PECVD)將氮化硅層沉積。氮化硅層不僅可以鈍化器件側壁,也可以用于錨定(Anchor)和栓繩(Tether)結構的形成。
而在氮化鎵芯片在印刷前,先會在COMS晶圓上施以一層半導體薄膜級樹脂。到了微轉印完成后,底層樹脂則被固化,再通過鎢化鈦和鋁金屬疊層濺射沉積,到減厚濕法刻蝕,最終形成器件的連接。
數據來源 3qled 顯示之家